Zarr benchmarks
This page provides advice on how to set Zarr array configuration options. These options all have an impact on data compression, read times, and write times. The advice here is based on a series of benchmarks, which are presented below.
These benchmarks are part of the wider
HEFTIE project.
The current version can be cited from zenodo:
Executive summary
- Software: tensorstore is faster than zarr-python version 3 is faster than zarr-python version 2 (for both reading and writing data).
- Compressor:
blosc-zstdprovides the best compression ratio for image and sparse segmentation datazstdprovides the best compression ratio for dense segmentation data.
- Compression level: Values greater than ~3 result in slightly better data compression but much longer write times. Compression level does not affect read time.
- Other compressor options: Setting the
shuffleoption has no adverse effect on read/write times, and for different data types different values increase compression ratio:- image data, setting it to
"shuffle" - sparse labels, setting it to
"bitshuffle" - dense labels, not setting
shuffleat all
- image data, setting it to
Configuration
The data used for benchmarking is available on Zenodo at 10.5281/zenodo.15544055.
Datasets
All datasets have shape: 806 x 629 x 629, with a 16-bit unsigned integer data type. Three different datasets were used:
- Image data: A Hierarchical Phase-Contrast Tomography (HiP-CT) scan of a human heart.
- Dense label data: Segmented neurons from an electron microscopy volume of part of the human cerebral cortex.
- Sparse label data: Selected proofread segmented neurons, from the same dataset as the dense label data.
Default configuration
Unless stated as being varied below, the default Zarr array configuration used was:
- Dataset = heart image data
- Chunk shape =
(128, 128, 128) - Compressor =
"blosc-zstd" - Shuffle =
"shuffle" - Compression level =
3 - Zarr specification version = 2
All benchmarks were run 5 times, and the mean values from these runs are shown in the graphs below.
Hardware
Reading and writing arrays was done to and from local SSD storage, to mimic real world usage when reading/writing to a disk. Times given are the full time needed to read/write to/from disk.
Benchmarking result data used to create this report is available in the
HEFTIEProject/zarr-benchmarks
repository in the /example_results directory. To reproduce the plots in this
report locally (along with further plots we couldn’t include in the report), see
the README in that repository.
Compressors
This section shows how varying the compressor and it’s configuration affects performance.
Compression algorithm & compression level
Write time
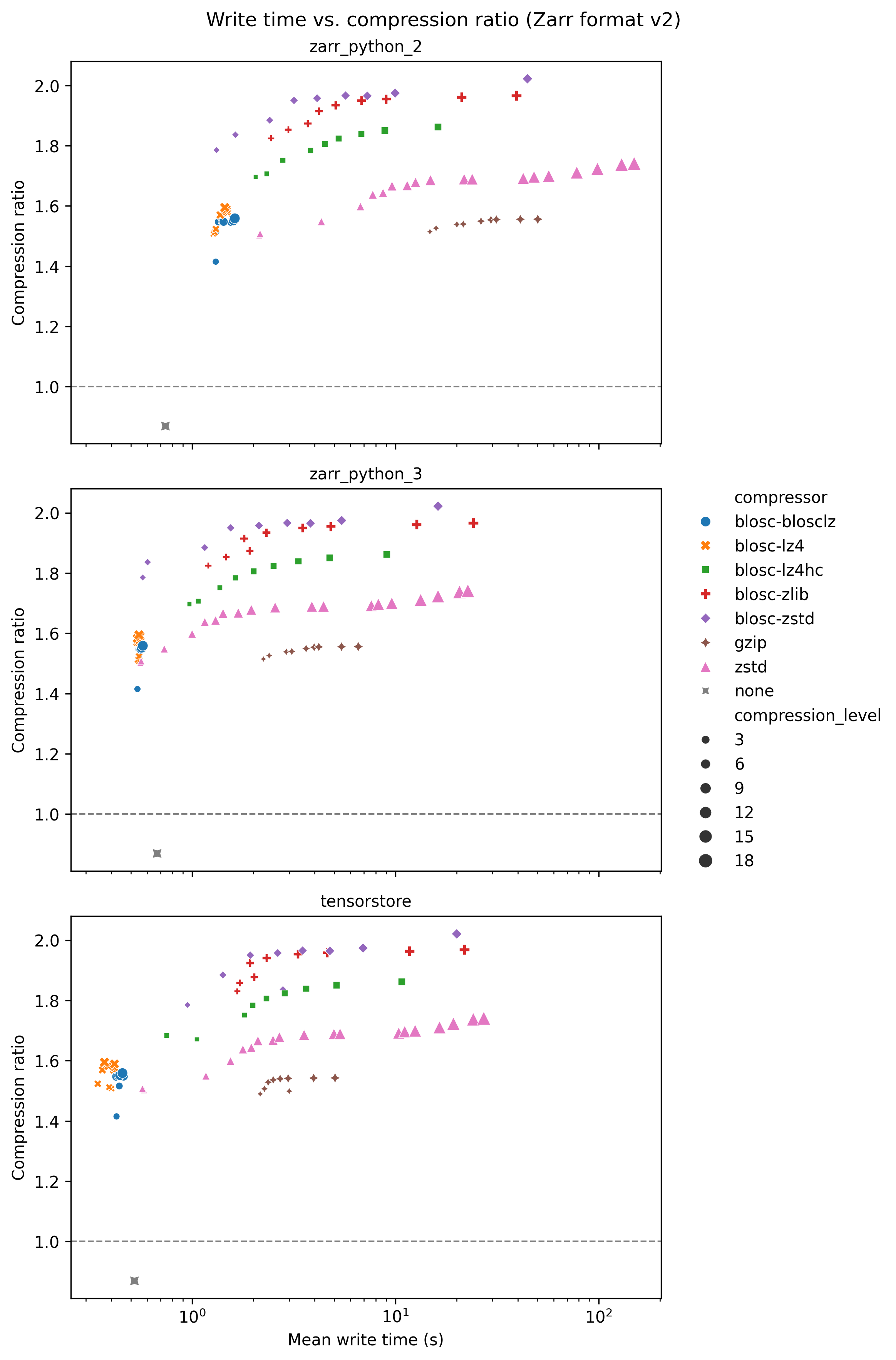
The following graph shows write time for the Zarr-python 2 library, with write time on the x-axis and compression ratio on the y-axis. Each compressor is represented with a different colour/symbol, and larger markers represent higher compression levels. The compression ratio is the ratio of the data size when loaded into memory (e.g., for an array with 16 bit unsigned integer data type and 16 elements, the data size is 32 bytes), and the data size when compressed and stored. Higher compression ratios mean lower stored data sizes.

The grey cross in the bottom left of he plot shows a baseline result for no compression, taking about 0.7s. Perhaps surprisingly this has a compression ratio slightly less than one. This is because the chunk boundaries don’t line up exactly with the data shape, so when written to Zarr some extra data at the edges is written to pad the final chunks.
The quickest compressors on the left hand side of the graph took around 1 to 2 seconds, and already gave compression ratios of ~1.5. Increasing the compression level typically increases the compression ratio at the cost of increased write time. Increasing the compression level does not increase the compression ratio by much - for blosc-zstd going from ~1.8 and write times of ~1 second to ~2.0 and write times of ~45 seconds.
Read time
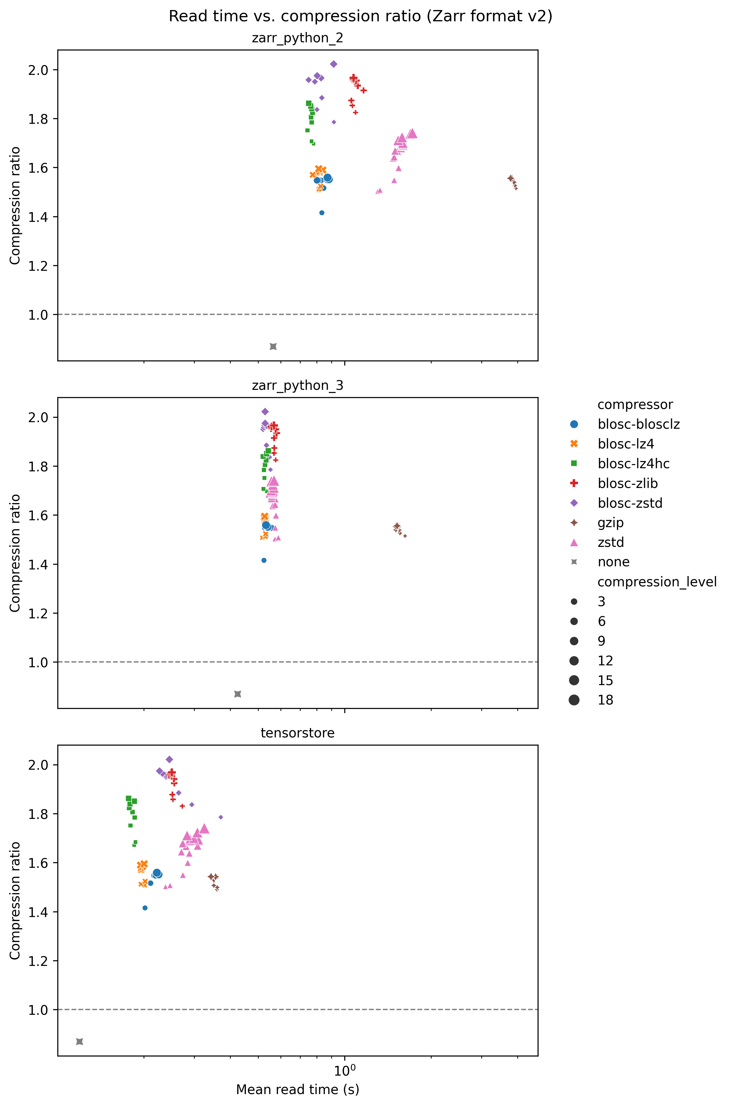
The following graph shows read time for the zarr-python version 2 library, with read time on the x-axis and compression ratio on the y-axis. Again, each compressor is represented with a different colour/symbol, and larger markers represent higher compression levels.

The grey cross in the bottom left of the plot shows a baseline result for no compression, taking about 0.6 seconds.
For zstd (pink triangles) read time increases with compression level. For all other compressors there is no variation of read time with compression level. For many compressors this is a feature of their design, with a large one-off cost of compressing the data but no slow down in reading the data. All the compressors have similar read times of around 1 second, apart from zstd and gzip which have significantly slower read times.
Shuffle
In addition to setting the compression level, the blosc compressors also allow configuring a “shuffle” setting. This includes shuffle, noshuffle and bitshuffle.
The following graphs show (in order) compression ratio, read time, and write time for different values of shuffle for the blosc-zstd codec (using the tensorstore library).

Setting the shuffle configuration to “shuffle” increases the compression ratio for imaging data from ~1.5 to ~1.9, and does not substatially change the read or write times. We found that different shuffle options have different outcomes for different types of data however.
Chunk size
The following graphs show how changing the chunk size affects performance.

Increasing the chunk size decreases the compression ratio, but only slightly. This is probably because larger chunk sizes result in a bigger range of data to compress per chunk, resulting in slightly less efficient compression.

Setting a low chunk size (below around 90) has an adverse effect on read and write times. This is probably because lower chunk sizes result in more files for the same array size, increasing the number of file opening/closing operations that need to be done when reading/writing.
Software libraries
The following graphs show how the software package used affects performance. Benchmarks were run with the zarr-python version 2, zarr-python version 3, and tensorstore libraries.

tensorstore is consistently the fastest library when both reading and writing data.
Zarr format version
Although not shown here with graphs, we found that the difference between reading and writing Zarr format 2 and Zarr format 3 data with otherwise identical settings was negligible.
Different image types
Up to now, all results are from a 16-bit CT image dataset of a heart. The following graphs show the compression ratio - write time plots for the original heart dataset (top), a dense segmentation (middle), and a sparse segmentation (bottom).

For the sparse segmentation (bottom panel) again the “blosc-zstd” compressor provides the best compression ratios, but the effect of choosing a different compressor is even more pronounced. For the dense segmentation (middle panel) the “zstd” compressor provides the best results. With the dense segmentation compression ratios for blosc-zstd reach around 60, whereas for the sparse segmentation compression levels of over 2,000 are reached.